流量計的主要參數包括哪些方面
點擊次數:5894 發布時間:2020-04-25 07:52:25
1)標稱口徑
測量管道的標稱口徑通常用符號DN表示。它是指標準規范中規定的口徑尺寸。目前通常流量計使用的管道口徑范圍在DN2.5至DN3000之間。
2)程范圍
量程范圍指在所要求的基本誤差范圍內可測量*大和*小流量值之間的范圍。它通常與流量計的類型、管道標稱口徑的大小和變送器等因素有關。其表達形式采用*大和*小流量值的比值方法,如10:1,20:1等。
3)基本誤差
流量計在量程范圍內的*大允許誤差即為基本誤差。誤差有絕對誤差和相對誤差之分。流量計的基本誤差通常用相對誤差來表示。它的表達方式有以下2種。
(1)示值的相對誤差ex:
示值相對誤差是絕對誤差△x與當前儀器的示值x之比的百分數,記為

(2)滿量程的相對誤差em
滿量程相對誤差是絕對誤差△x與滿量程值xm之比的百分數,記為

同樣精度的儀表,前者表示的基本誤差要大于后者。
4)線性度
線性度δ是衡量儀器特性曲線非線性誤差的一個度量值。它用特性曲線和擬合直線之間的*大偏差與儀器滿量程讀數之比的百分比來表示,即

式中
△—特性曲線和擬合直線的*大偏差;
y—滿量程讀數。
5)回程誤差δt
回程誤差是當輸人信號增大和減小達到相同數值時.使各自對應的輸出值不等而產生的誤差。它定義為

式中
△一正、反向輸出之間的*大差值;
y—滿量程讀數。
在流量計中回程誤差通常出現在有磁性元件和機械摩擦間隙的場合。
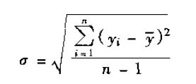
6)重復精度δx
重復精度表示在多次重復輸人同一值的條件下輸出結果一致性的度量值。

式中
σ—多次輸出值的標準方差;
y—滿量程讀數。
計算標準方差的方法有很多。通常采用貝塞爾計算公式

式中
ri—*i次的測量值;
y—測量值的算術平均值;
n—測量次數。
7)穩定性
穩定性表示在相當長的一段時間內能保持測量性能指標的能力。其表示方式是在某一時間范圍內滿量程誤差變化的百分比。
8)壓力損耗
壓力損耗一般是指在*大流量時,儀器入口和出口兩端的壓力差△P。人們通常把該指標作為判別儀器經濟性的一個重要參數。壓差小。表示經流量計所損耗的能量小,經濟性就好。
上一篇:電容傳感器的皮革廠污水流量計測量


